欢迎访问中科创汇科技有限公司官方网站!

详细说明

QS(QSR)小型水泵

暂无价格
收藏
  • 产品说明


结构说明

1:QS小型潜水电泵由水泵、潜水电机两部分组成。

2:水泵由叶轮、导叶(导流壳)、进水节、出水口等部件组成,叶轮的固定采用锥形套或键。

3:潜水电采用充水式结构,内腔充满清水,主要用于电机冷却及滑动轴承润滑,电机定子绕组采用耐水电磁线,有良好的耐水性能,转子不鼠笼结构。电机上端设有注水孔用排气孔,下端设有放水孔。电机下部装有止推轴承受泵轴向力用转子自重。转子轴伸入装有橡胶甩沙器和滑架油封,组成防沙机构,能有效防止泥沙进入电机。


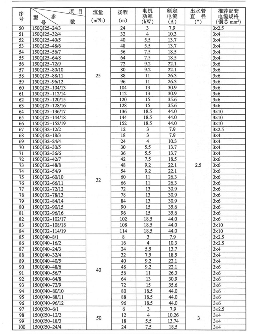
技术参数


图片1.png



相关参数下载

中科创汇.doc


技术支持: 13261062887 | 管理登录
×
seo seo